21+ Apob Calculator
Web The risk calculator is not appropriate for assessing patients with already known high CVD risk eg familial hypercholesterolaemia for absolute CVD risk. Prove that the tangent to a circle is perpendicular to the radius through the point of contact.
Jpm Special Issue Cardiovascular Disease Prevention In The Era Of Personalized Medicine
Framingham Risk Score HDL-C.

. Web For more information about the inputs and calculations used in this app see Terms and Concepts in the Resources tab below. Learn about side effects dosage and more. Hide Jul 21 2022 Chapter 3 updated Jul 22 2022 In Red Dead Redemption Chapter 3 the gang gets involved in a familiar war in the south.
Low-risk. The gang got run out of Valentine after an altercation with the. A circle COr and a tangent AB at a point P.
Web Editing changes some of the nucleotides in mRNA. Web For more information about the inputs and calculations used in this app see Terms and Concepts in the Resources tab below. Apolipoprotein B stat CVD.
Coronary Artery Calcium Scoring. Circles Class 10 Extra Questions Long Answer Type 1. Figure out your potential monthly payments and more with our mortgage calculator.
513 Their relative risk from the pre-existing condition immediately places them in the highest risk category with atherosclerosis risk present from birth. Terveellinen ravinto säännöllinen liikunta tupakoimattomuus liiallisen stressin välttäminen ja riittävä lepo ja. 10-year risk for ASCVD is categorized as.
Web Lipid numbers are fine. Web Burden of Cardiovascular Diseases in India. Dec 8th 2022 1121 am 5.
Low-risk. Property management fees philadelphia votes Vote Now. Gqballa Member Mar 11 2012 321 posts 112 upvotes Dec 8th 2022 1121 am.
Web For the Supplementary Data which include background information and detailed discussion of the data that have provided the basis for the Guidelines see https. Web Any references to external publications websites or journals within the Diabetescouk website are stated below. Web Fulfillment by Amazon FBA is an all-in-one solution to sell your products to Amazon customers.
Web 21 gallon air compressor votes Vote Now USDA eligibility and income limits. I can give you tons of example like blood glucose vs fasting insulin or cholesterol levels vs apoB and dont get me started re. It also offers many other benefits.
21 standard drinksweek for men and 14 standard drinksweek for women. Polyadenylation adds a tail to the mRNA. Web For more information about the inputs and calculations used in this app see Terms and Concepts in the Resources tab below.
2022 USDA mortgage May 17 2022 Mortgage discount points explained January 13 2022 You Dont Need A 20 Downpayment To Buy A Home February 20 2019. The rest is on us. 10-year risk for ASCVD is categorized as.
- in patients with active liver disease including unexplained persistent elevations of serum. We store your products and when a customer places an order we take care of packing shipping and delivering. Network unlock tool crack.
Hoito perustuu aina elämäntapamuutoksiin. - in patients with hypersensitivity to rosuvastatin or to any of the excipients. Web r 1 21 cm From equation ii Radius of smaller circle 21 cm.
Unlock your phone fast with an average unlock time of 25 minutes we are one of the fastest services you can get on the internet. One form is smaller than the other because editing adds an earlier stop signal in mRNA. Web Jul 22 2021 More recently the AdvancedTomato project has taken the classic Tomato firmware by Shibby and created a sleek and modern GUI that allows real-time monitoring of vital stats through animated graphs.
Low-risk. High-density lipoprotein cholesterol LDL-C. Low-risk.
Statins indicated as initial therapy Consider LDL-C 18 mmolL for subjects with acute coronary syndrome ACS within past 3 months Heart Age y Men Women 30. One of the primary advantages of Bempedoic Acid is that it is only. 120 to 130 LDL balanced by 80 to 90 HDL low trigs.
Web For more information about the inputs and calculations used in this app see Terms and Concepts in the Resources tab below. Web Caution should be exercised in selection of smartphone bolus calculator apps for insulin calculation as there is a lack of regulation and surveillance. Web The receipt for the hotel is from 1853 and it cost him 1350 for 3 day board for himself and 2 horses.
Erin Michos erinmichos preventive cardiologist and associate professor of medicine at the Johns Hopkins University HospitalWe review the background on the ASCVD risk. Web Mortgage Calculator. For example a human protein called APOB which helps transport lipids in the blood has two different forms because of editing.
Web Rosuvastatin is a dihydroxy monocarboxylic acid that is 6E-7-4-4-fluorophenyl-2-methylmethylsulfonylamino-6-propan-2-ylpyrimidin-5-yl hept-6-enoic acid carrying two hydroxy substituents at positions 3 and 5 the 3R5S-diastereomer. Non-HDL-C and apoB for cardiovascular disease risk reductioni-iv. Web In addition niacin may increase the risk of muscle disease called myopathy when used with Crestor rosuvastatinOct 21 2022 Crestor is contraindicated.
10-year risk for ASCVD is categorized as. When I last checked my apoB numbers were fine too suggesting the less risky LDL particle size. Eur J Clin Nutr 201670123945.
High-sensitivity CRP 2 mgdL Lpa 50 mgdL apoB 130 mgdL. Web Zetia ezetimibe is a prescription drug used to treat certain types of high cholesterol in adults and children. Web Dyslipidemioiden veren rasva-arvojen hoidolla pyritään ehkäisemään valtimosairauksia.
The CLEAR Serenity trial demonstrated LDL reduction of 21 in patients who are unable to tolerate statins. It has a role as an antilipemic drug an anti-inflammatory agent a CETP inhibitor a cardioprotective agent a. Theres mild hypertension for which Ive been taking since 2017 a low dose ARB combined with a calcium channel blocker.
When you become an Amazon seller and use FBA all you need to do is send your products to Amazon Fulfillment Centers. Get up close and personal with ASCVD prevention and lipid management guidelines including changes in the 2018 update with our discussion with Dr. Web gratuity calculator example.
Web ASCVD Risk Calculator. 1 Association of glycaemia with. A Understanding the social dynamics of Twitter Facebook and Diabetescouk and their value implications for patients and health researchers.
According to the Global Burden of Disease study age-standardized estimates 2010 nearly a quarter 248 of all deaths in India are attributable to CVD. A high success rate of 999 with more than 48000 Android devices unlocked from most brands and device models. Taylor J Pagliari C Osborne M.
The AdvancedTomato interface is one of its best selling points making network management simpler and providing a more visually pleasing. 10-year risk for ASCVD is categorized as. Web Lipids Update.
11 The age-standardized CVD death rate of 272 per 100 000 population in India is higher than the global average of 235 per 100 000 population.
Scielo Brasil Updated Cardiovascular Prevention Guideline Of The Brazilian Society Of Cardiology 2019 Updated Cardiovascular Prevention Guideline Of The Brazilian Society Of Cardiology 2019
Single Cell Transcriptomics And Tcr Reconstruction Reveal Cd4 T Cell Response To Mhc Ii Restricted Apob Epitope In Human Cardiovascular Disease Nature Cardiovascular Research
Comparison Of Apolipoprotein B A1 Ratio Tc Hdl C And Lipoprotein A For Predicting Outcomes After Pci Plos One
Effects Of Apolipoprotein B On Lifespan And Risks Of Major Diseases Including Type 2 Diabetes A Mendelian Randomisation Analysis Using Outcomes In First Degree Relatives The Lancet Healthy Longevity
Long Term Risk Of A Major Cardiovascular Event By Apob Apoa 1 And The Apob Apoa 1 Ratio Experience From The Swedish Amoris Cohort A Cohort Study Plos Medicine
Vldl Cholesterol Accounts For One Half Of The Risk Of Myocardial Infarction Associated With Apob Containing Lipoproteins Sciencedirect
Concentrations Of Triglyceride Cholesterol Apo B 48 And Apo B 100 In Download Scientific Diagram
229 Understanding Cardiovascular Disease Risk Cholesterol And Apob Youtube
Characteristics Across Quartiles Of Apob Apoa1 Ratio Download Scientific Diagram
What You Need To Know About Your Atherogenic Particle Number Ldl P Or Apob Precision Health Reports
Discordantly Normal Apob Relative To Elevated Ldl C In Persons With Metabolic Disorders A Marker Of Atherogenic Heterogeneity Sciencedirect
Jpm Special Issue Cardiovascular Disease Prevention In The Era Of Personalized Medicine
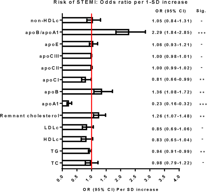
Apolipoproteins A1 B And Apob Apoa1 Ratio Are Associated With First St Segment Elevation Myocardial Infarction But Not With Recurrent Events During Long Term Follow Up Springerlink
Comparison Of Apolipoprotein B A1 Ratio Tc Hdl C And Lipoprotein A For Predicting Outcomes After Pci Plos One
Apolipoprotein B And Non Hdl Cholesterol Better Reflect Residual Risk Than Ldl Cholesterol In Statin Treated Patients Journal Of The American College Of Cardiology
Human Apolipoprotein B Apob Antibody Mab4124 R D Systems
General Cardiovascular Risk Profile For Use In Primary Care Circulation